Curvature Enthusiasm:
Correspondence-Free Interpolation and Matching of Articulated 3D Shapes using Compressed Normal Cycles

1 University of Bath, UK     2 University College London, UK
In SIGGRAPH Asia 2025 (ACM Transactions on Graphics)

Abstract

We present an unsupervised framework for physically plausible shape interpolation and dense correspondence estimation between 3D articulated shapes. Our approach intentionally focuses upon pose variation within the same identity, which we believe is a meaningful and challenging problem in its own right. Our method uses Neural Ordinary Differential Equations (NODEs) to generate smooth flow fields that define diffeomorphic transformations, ensuring topological consistency and preventing self-intersections while accommodating hard constraints, such as volume preservation.

By incorporating a lightweight skeletal structure, we impose kinematic constraints that resolve symmetries without requiring manual skinning or predefined poses. We enhance physical realism by interpolating skeletal motion with dual quaternions and applying constrained optimization to align the flow field with the skeleton, preserving local rigidity. Additionally, we employ an efficient formulation of Normal Cycles, a metric from geometric measure theory, to capture higher-order surface details like curvature, enabling precise alignment between complex articulated structures and recovering accurate dense correspondence mapping.

Evaluations on multiple benchmarks show notable improvements over state-of-the-art methods in both interpolation quality and correspondence accuracy, with consistent performance across different skeletal configurations, demonstrating broad applicability to shape matching and animation tasks.

Contributions

Teaser Image

We propose 3 key innovations over the current state-of-the-art approach, ARC-Flow (top row), that lead to more physically plausible interpolations and higher quality recovery of dense correspondence. Left: 3D Shape Interpolation. The kinematics of the articulated skeleton are modelled using Dual Quaternions leading to pose interpolation using SCLERP (vs SLERP) Centre: Improved Surface Matching. Normal Cycles are more effective in accurately modelling high curvature areas compared to Varifolds Right: Exact Skeleton-Driven Transformation. The benefit of constrained optimisation (MDMM vs soft constraints) is demonstrated on a sequence from the MANO dataset; it ensures the flow driven deformation exactly matches the rigid skeletal deformation.

Experimental Results

Quantitative Results

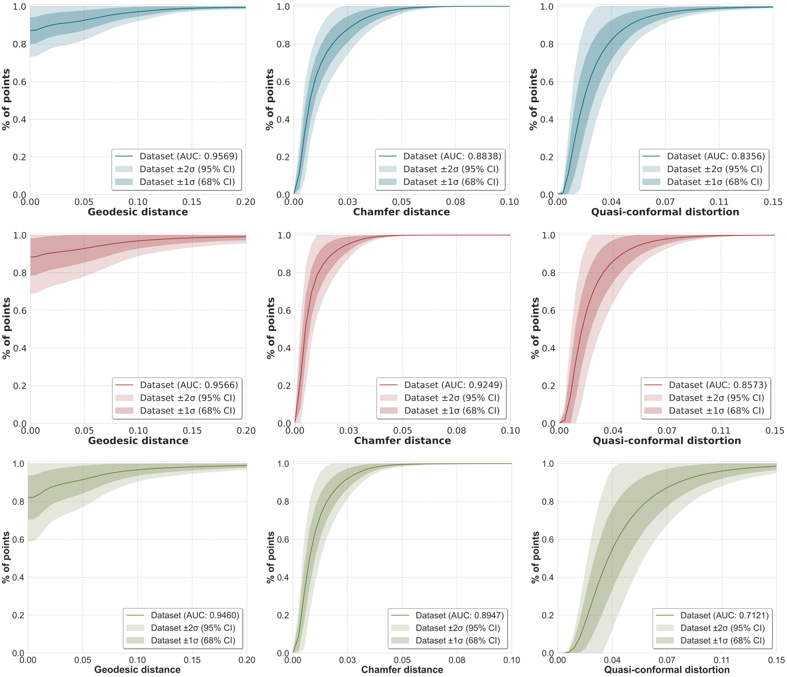
Our method outperforms state-of-the-art approaches (ARC-Flow, SMS, ESA) across Geodesic Distance, Chamfer Distance, and Quasi-Conformal Distortion metrics on DFAUST (Humans), MANO (Hands), and SMAL (Animals) datasets.

Quantitative Results

Interpolation results on DFAUST dataset with our method using SMPL & SKEL skeletons vs ARC-Flow using SMPL. Mean and confidence intervals for the three metrics are shown; our method improves across all metrics irrespective of the skeleton and also has narrower error bars indicating more consistent performance than ARC-Flow.

SMPL vs SKEL Comparison

Qualitative Results

Related Work & References

[1] ARC-Flow: Adam Hartshorne, Allen Paul, Tony Shardlow, and Neill D.F. Campbell. "ARC-Flow: Articulated, Resolution-Agnostic, Correspondence-Free Matching and Interpolation of 3D Shapes Under Flow Fields". 3DV 2025.

[2] SMS: Dongliang Cao, Marvin Eisenberger, Nafie El Amrani, Daniel Cremers, and Florian Bernard. "Spectral Meets Spatial: Harmonising 3D Shape Matching and Interpolation". CVPR 2024.

[3] ESA: Emmanuel Hartman, Yashil Sukurdeep, Eric Klassen, Nicolas Charon, and Martin Bauer. "Elastic shape analysis of surfaces with second-order sobolev metrics: a comprehensive numerical framework". IJCV 2023.

[5] SMPL: Matthew Loper, Naureen Mahmood, Javier Romero, Gerard Pons-Moll, and Michael J. Black. "SMPL: A Skinned Multi-Person Linear Model". SIGGRAPH Asia 2015.

[6] MANO: Javier Romero, Dimitris Tzionas, and Michael J. Black. "Embodied Hands: Modeling and Capturing Hands and Bodies Together". SIGGRAPH Asia 2017.

[7] SMAL: Silvia Zuffi, Angjoo Kanazawa, David W. Jacobs, and Michael J. Black. "3D Menagerie: Modeling the 3D Shape and Pose of Animals". CVPR 2017.

[8] SKEL: Marilyn Keller, Keenon Werling, Soyong Shin, Scott Delp, Sergi Pujades, C. Karen Liu, and Michael J. Black. "From skin to skeleton: Towards biomechanically accurate 3d digital humans". SIGGRAPH 2023.

[9] DFAUST: Federica Bogo, Javier Romero, Gerard Pons-Moll, and Michael J. Black. "Dynamic FAUST: Registering human bodies in motion". CVPR 2017.

[10] TOPKIDS: Zorah Lähner, Emanuele Rodolà, Michael M. Bronstein, Daniel Cremers, et al. "SHREC’16: Matching of deformable shapes with topological noise". Eurographics Workshop on 3D Object Retrieval 2016.

Acknowledgments

We thank Michelle Wu and Marting Parsons for help in rendering figures and video production. This work was supported by the EPSRC SAMBa Centre for Doctoral Training in Statistical Applied Mathematics (EP/L015684/1), the EPSRC CAMERA Research Centre (EP/M023281/1 and EP/T022523/1), UKRI Strength in Places Fund MyWorld Project (SIPF00006/1) and the Royal Society.

RoyalSociety
SAMBa
MyWorld
CAMERA
UoB
UCL

BibTeX

@article{Hartshorne2025Curvature,
  author    = {Hartshorne, Adam and Paul, Allen and Shardlow, Tony and Campbell, Neill D. F.},
  title     = {Curvature Enthusiasm: Correspondence-Free Interpolation and Matching of Articulated 3D Shapes using Compressed Normal Cycles},
  journal   = {ACM Transactions on Graphics (SIGGRAPH Asia)},
  volume    = {44},
  number    = {6},
  year      = {2025},
  publisher = {ACM}
}